[ВХОД]
20.04.26(13:12)

mob.skif.biz

Альтернативная энергия. Оставь надежду, всяк сюда входящий...

🏠 Главная | 📚 Содержание | 💬 Форум | 📁 Файлы | 📩 Контакт
 
Резонансные генераторы
Магнитные генераторы
Механические центробежные (вихревые) генераторы
Электростатические генераторы
Водородные генераторы
Ветро- и гидро- и солнечные генераторы
Прочие идеи (разные)
О форуме
Транспорт
Оружие
Научные идеи, теории, предположения...
Экономия топлива
Коммерческие вопросы
Струйные технологии
Торсионные генераторы
Новые технологии
Барахолка
Патентный отдел
Конструкторское бюро
Нейтронная физика
Торнадо и смерчи
Гравитация и антигравитация
Сделай сам. Советы.
Медицина и здравоохранение

🖥️ | 🖨️

Форум - Прочие идеи (разные) - новые идеи (прочие) - Про вихри(2) - Стр:103
<] [ 1 | ... 93 | 94 | 95 | 96 | 97 | 98 | 99 | 100 | 101 | 102 | 103 | 104 | 105 | 106 | 107 | 108 | 109 | 110 | 111 | 112 | 113 | ... | 116 ] [>
Модератор: andy8mm
Первый пост темы: andy8mm Post: #204995 От:18.10.2009 (22:09)
Крепче всего объединяет людей жажда наживы. Это назывется банда.
Вот и у нас банда. Но жажда наживы у нас к знаниям.Ссылки(2).
Курс общей физики Ландау, Ахиезер, Лившиц.(1). (2). (3). (4). (5).
Ньютон. Гинзбург. Эйнштейн. Райзер. Опыт Кавендиша.
Источник информации? Сила. Импульс. Миша Ломоносов.
Энергия. Э-1. Время. Козырев. Поляризация Эфира.ХАОС.
Великое Ничто. Пространство. Частотный склон. Момент мпульса. Два жигулевских колеса.
Волна, фронт. Градиент. Радиант(1). Вектор Пойтинга. Трансформатор. Встречные катушки.
Квант. Мезон, ЭМВ. Фотон. Спектр. Спектр атомов. Потенциал ионизации.
Электрон. Протон. Нейтрон. Нейтрино. Заряд. Зеркальный заряд.
Фотон. Цуг. Узелок. Электрон. Протон. Нейтрон. Красное смещение.
Кольцегранная модель строения атома.
ЯМР и ЭПР. Низкоуровневые возбуждения ядер атомов
Горение(1). Горение(2). Горение(3).Ионизация.
Радиант(2). Торсионная составляющая.
Поле-1. Скаляр. Вектор. Поток. Поле-2. Вектор. Бифиляр. Сердечник. Николаев.
Электрическая ёмкость. Конденсатор. Источник тока. Источник напряжения.
Диссипативность эфира. Энтропия. Энтальпия. Эдвин Грей.
Коэффициент преломления, поглощение, излучение, "зеркало-отражение".
Зеркало. Коэффициент преломления. Диэлектрическая проницаемость. Магнитная проницаемость.
Ток(классика). Малограмотные физики напутали.
Ток переноса. Ток поляризации. Ток проводимости. Скин эффект.
О разнице между источником тока и источником напряжения. Магнитная связь и индуктивность.
МП(магнитное поле). Ампер. Лоренц. Максвел. Фарадей. Магнит.
Вода-1. Вода-2. Уголь.
Униполяр Фарадея. Фарадей и северный врэдиэнт. Проводимость и баскетбол.
Отрицательное сопротивление, ДННЗ, ДДРВ. Охлаждение кристалла.
Индуктивность и Индукция, ЭДС. Индукция и Напряженность. Эффект Холла..
Индуктивность. Отрицательная индуктивность.. Пичок. Противо-ЭДС, Импульсный Транс-форма-тор.
Дроссель-1. Бинокль. Дроссель-2. Дроссель-3.Три метода измерения импульсного тока.
Бифилярные(1), Виды намагничивания. Лавина-1. Лавина-2. Лавина-3. Лавина-4.
Отымать, отымать и еще раз отымать.
Гравитация(1). Масса. Гравитация(2). Гравитация(3). Гравитация(4). Гравитация(5).
Области гравитации. Ионизация частицами и излучением.
спайдер иванова
Инерция(1).
Рекуперация. Прокариоты. Сварочник автомобилиста (СА)
Молния. Лавина. Озон. Кирлиан. Луна. Аберрация.
Грей. Мейер.Линдерман.
Качер. Стриммер. Фитонка. Схема. Модель. . Качер-2. Секреты.
Амедео Авогадро. Про пички от искры. Токовый трансформатор.
Электролиз. Рабочее место. Земля. Монтаж-правила. Заряд Литиевых акб. Про ЕБХТ и ПИЗ...ую зарядку.
Кавитация, сонолюминисценция...
Верить нельзя никому...диамагнетики, парамагнетики и ферромагнетики.
Холодный термояд итальянцев, водород, никель.
Язык: Аз Бога Ведаю

С 7521 годом от сотворения Мира.
1. Очистка организма.
2. ХАДО(личный опыт).
3. Защита.

Ссылки(1) на ветки dedivana. Букварик-2.
Как попасть на www.skif.biz минуя интернет провайдера
СНК | Post:661077 - Date: 13.02.20(10:39)
Эксперимент Миллера — Юри
..Как становится понятным, одним из основных аргументов критиков является отсутствие единой хиральности у синтезированных аминокислот. Действительно, полученные аминокислоты представляли собой практически равную смесь стереоизомеров, в то время как для аминокислот биологического происхождения, в том числе входящих в состав белков, весьма характерно преобладание одного из стереоизомеров. По этой причине дальнейший синтез сложных органических веществ, лежащих в основе жизни, непосредственно из полученной смеси затруднён...

_________________
Автор благодарит алфавит за любезно предоставленные буквы.(с)


СНК | Post:663380 - Date: 28.02.20(16:21)
https://aftershock.news/?q=node/836952 - живность везде живет..

_________________
Автор благодарит алфавит за любезно предоставленные буквы.(с)


andy8mm | Post:666140 - Date: 28.03.20(10:43)
Вирус это начало жизни на планете.
Есть полная противоположность вирусу - это прокариоты.
... Эукариоты
. Прокариоты-1
dedivan Пост: 665332 От 20.Mar.2020 (16:24)
Как отличить обычного человека от ЧМО- человека малообразованного?
Если показать ЧМу фотографию обычного вируса гриппа- ЧМО сразу увидит корону- и будет кричать что это короновирус. Хотя все вирусы гриппа с виду абсолютно одинаковы- у них совершенно одинаковые обложки.
Это белковая оболочка внутри которой находится простенькая ДНК- молекула с информацией.
Это как книжка Библия- внутри нее информация- снаружи обложка.
Если подбросить эту книжку около монастыря- монахи тут же подберут ее и начнут переписывать свою святыню.
Конечно наделают ошибок, и новая библия будет чем то отличаться от старой.
Точно так же возникают новые штаммы вирусов гриппа.
Небольшие ошибки при копировании молекулы ДНК происходят редко, но происходят.
Если учесть что этих вирусов триллионы и триллиарды- и копирований тоже триллионы и триллиарды, то эти ошибки происходят уже довольно часто, прямо на наших глазах. Но обложка библии всегда одинаковая, меняется только содержание, даже несколько букв всего.
Кому какой вред от того, что написано в этой библии или что записано в этой молекуле ДНК?
Это простейшая молекула, в которой записано как сделать точно такую же молекулу.
Больше ничего там нет.
Но если монахи подберут такую книжку и начнут ее переписывать, то они забросят все свои дела по монастырю, и монастырь потихоньку приходит в упадок. Не сеют, не пашут, жрать нечего, дров не заготовили- это вред нанес не сам вирус, это неразумные монахи забросили свои дела, и клюнули на диверсию против монастыря.

ЧМО очень легко напугать- заставить его носить повязки, или читать новые молитвы, покупать дорогие книжки с новыми молитвами- таблетки от вирусов...
Можно заставить каждые два часа стерилизовать повязки, среди монахов появятся выдающиеся ЧМы, которые найдут новые способы стерилизации, будут учить всех.
Но монахи при этом будут усердно день и ночь переписывать подброшенную библию.
Вирус это начало жизни на планете.
Есть полная противоположность вирусу- это прокариоты. Прокариоты это собрание белковых молекул, которые как детальки из конструктора лего собираются в определенную конструкцию, которая может реплицировать молекулы ДНК.
У них нет ни оболочки ни своей ДНК. Они подбирают из окружающего их бульона кусочки ДНК, которые всегда присутствуют в окружающем их океане .
И начинают их проигрывать, как кассетный магнитофон проигрывает пленку кассеты.
Какая музыка записана на пленке- ту и воспроизводят.
Своей мелодии или музыки у кассетника или прокариоты нет.
Проиграв ленту молекулы ДНК, сделав ее копию- выбрасывают ее наружу и ищут новую
Так вот и существовали долго- миллиарды лет отдельно вирусы - кассеты с информацией и отдельно кассетники- проигрыватели.
И вот однажды кассета настолько понравилась, что ее выбрасывать не стали, а оставили внутри кассетника, а кассетнику сделали оболочку из корпуса кассеты
и получилась клетка- которая и информацию свою имеет и умеет ее проигрывать, копировать.
Так появились Эукариоты. Клетки с ДНК и оболочкой.
И дальше Бог сказал- зае...бись, и все вокруг зае...блось.


andy8mm | Post:666144 - Date: 28.03.20(10:57)
dedivan Пост: 665340 От 20.Mar.2020 (17:15)
sbal Пост: 665338 От 20.Mar.2020 (16:58)

Не спора али бодалова ради, правды для 😊

Так дальше продолжение есть, про монастыри.

Бывают неурожайные годы, или ненастье какое или пожар... всяко бывает.
И вот монастырь обнищал, монахи начинают бродить по округам, попрошайничать кусочки хлеба, копеечку... и тащут все в монастырь, заодно и книжки найденные на дороге. А у вируса липучки вокруг торчат, липкие как репейник, их все тащат в монастырь и начинает уже полная беда. Разруха.
В нормальном монастыре такого не бывает- там все строго- настоятель следит чтобы все делом были заняты, не шатались по округе, всякий хлам в монастырь не тащили.
То же самое происходит и при гриппе. Есть клетки, где есть уже какой то непорядок, начинается воспалительный процесс, но только самое начало, если нет поблизости вирусов, то клетка может и выздороветь.
А вот если попалась поблизости старинная библия- а вирусы очень древние, начинается уже полная беда- настоящее воспаление.
Люди мрут от воспаления а не от самого гриппа.
Чтобы предотвратить это. нужен строгий настоятель, который закроет все ворота и заставит всех монахов заниматься своим делом.
У этого строгого настоятеля есть имя- зовут его Ибупрофен.
Есть и другие, не менее строгие, но этот самый гуманный, не порет монахов, не ставит их на горох, то есть с наименьшим вредом для монахов наводит порядок в монастыре.
Вот примерно так, без медицинских терминов можно рассказать про Ибупрофен.


andy8mm | Post:666145 - Date: 28.03.20(10:58)
ДНК. Однослойный углерод...графен.
Митохондрии...у млекопитающих и у репитилий
665344 От 20.Mar.2020 (17:40)
sbal Пост: 665339 От 20.Mar.2020 (17:04)
Вирус это начало жизни на планете.
Спасибо!

Да, у ученых давно получается создать белковый бульон путем обычных природных процессов, это аналогия прокариотов, а вот ДНК у них не получается.
ДНК более сложную конструкцию имеет.
В ее основе ленточка из однослойного углерода- в семь рядов атомы углерода образуют длинную и прочную ленту, которая сама собой сворачивается в спираль- если видел как цветочники делают спиральки из пластиковой ленты- растягивают чуть чуть края ленты и получается спираль из ровной ленты.
Точно так же и атомы углерода- с краев между ними силы связей чуть меньше, расстояние чуть больше- и автоматом из ровной ленты получается спираль- однослойная конструкция из атомов углерода которую сейчас называют графеном. Она очень прочная, самый прочный материал в нашем мире.
Поэтому, по моему мнению, такая штука запросто может преодолеть межзвездное путешествие, и заселить подходящие планеты.
И эта спираль любит собирать на себя разные белковые молекулы из округи, а белки не могут абы как рядом существовать- они как детальки лего должны совпадать по выступам и ямкам- так и получается из спиральки сложная молекула которую мы называем ДНК.
А дальше прокариоты начинают играть ею.
И обычно доигрываются до клеточного организма.
Хотя настоящая клетка проходит еще один важный этап- она приобретает для себя митохондрии- это более простые клетки, но которые умеют вырабатывать энергию. Генетический аппарат у них более простой- называется митохондриальной ДНК - А сама клетка умеет затаскивать внутрь себя сырье для выработки энергии - вот так и возник симбиоз обычной ядерной клетки и безядерных митохондрий.
И вот эти самые митохондрии определяют способ питания клеток, они разные- например у млекопитающих и у репитилий-этим разделяются все животные на два больших класса.
Кроме одного случая- есть млекопитающие у которых внутри клеток
есть оба вида митохондрий. Как догадались уже наверное зовут этих млекопитающих- евреи.
Я думаю что это не природный феномен, тут какие то древние генетики поработали. Обычному млекопитающемуся человеку ввели митохондрии рептилий.


andy8mm | Post:667662 - Date: 06.04.20(13:09)
Вирус и Озон667383 От 04.Apr.2020 (21:35)
MSN Пост: 667380 От 04.Apr.2020 (21:29)
о влиянии озона на вирусную инфекцию, без вреда для организма ?
Вот сколько раз нужно говорить - у вируса нет ни рта ни жопы,
он не пьет ни курит, не дышит ему озон пофигу.
У него нет никаких обменных процессов, ему пофиг что вокруг него.
Недаром биолухи вымачивают бактериофагов в щелочах и кислотах и ничего им не делается.

Давай еще раз внимательно посмотри на гравитационную воронку вокруг Земли.
dedivan Пост: 669949 От 20.Apr.2020 (09:53)
genmih Пост: 669841 От 19.Apr.2020 (16:40)

В моей модели никакой кривизны пространства нет, гравитационные силы определяются градиентом температур в материи пространства.

Давай еще раз внимательно посмотри на гравитационную воронку вокруг Земли. Это модель. Но модель очень близка к реальности, в ней наглядно видно почему вблизи земли спутнику нужна скорость 8 км в сек а ближе к орбите Луны достаточно скорости 2 км в сек- это как мотоциклисту в цирке при езде по такой воронке. Как искривление какой то упругой плоскости в пространстве понятно наличие буртика вокруг воронки , наличие точек лагранжа и прочее.

image


В твоей модели этого ничего не видно и непонятно. Хотя как объяснение физических процессов в пространстве она правильная.
Но. Причина возникновения этой воронки не тепловая. Причина именно продавливание упругой поверхности.
И это продавливание идет не в нашем 3Д.
В нашем ЗД все ровно и гладко- нет никаких ямок и бугорков.
А они есть. Кинь с земли камень вверх и убедись- он по склону этой воронки вернется к тебе. Кинь вверх и чуть в сторону- камень точно по поверхности воронки будет лететь.
Запусти ракету- она точно также будет двигаться как будто эта воронка существует.
А в твоей модели нет ни буртика ни точек Лагранжа. Их не может быть.
То есть искривление это причина, а изменение типа температуры пространства (темпа времени) это уже следствие процессов при искривлении пространства. Хотя они есть, я не отрицаю и никто не отрицает, мало того это все измеряется и подтверждается приборами.
Но они не могут быть причиной появления буртика- это противоречит всем тепловым законам.
dedivan Пост: 669952 От 20.Apr.2020 (10:14)
genmih Пост: 669915 От 19.Apr.2020 (23:25)
- скорость какого ветра и на что влияет? - атмосферного солнечного или эфирного и как это сказалось на обнаружении движения эфира более века назад,

Самого обычного атмосферного ветра. Потому они и обнаружили изменение скорости света, когда залезли в горы. Оказалось эта скорость относительная а не абсолютная. Других объяснений нет.
dedivan Пост: 669953 От 20.Apr.2020 (10:17)
Sergej_ Пост: 669898 От 19.Apr.2020 (21:25)

1. Что якобы свет от Солнца не напрямую приходит, а он переизлученный воздухом.

Чудик, почитай сначала описание опыта, а потом лезь сюда со своими заблуждениями. Нет там никакого солнечного света.
dedivan Пост: 669963 От 20.Apr.2020 (11:30)
БЮВ Пост: 669956 От 20.Apr.2020 (10:56)
ну может ты объяснишь, почему точка лагранжа между луной и землей обнаружена в 10 тыс.км от луны, а не в 60 тыс.км, согласно Ньютону.

Это просто означает, что не Луна является причиной образования гравворонки, гравворонка в 5 раз меньше чем положено ей быть по Ньютону. Просто Луна летела мимо и попала в нее.
Гравворонка сама по себе существовала и существует по своим законам.
Не связанным с массой Луны.
Точно так же и земная воронка.
Посмотри на воронки в горном ручье- они образуются независимо от того, попала в них какая нибудь щепка или нет. Вихревая воронка может быть и маленькая, а щепка попавшая в нее - большая. Или наоборот- воронка большая а в центре мелкий мусор крутится.

Был известный итальянский опыт- у них есть вертикально отвесная скала рядом с астрофизической лабораторией и вот они решили проверить как эта гора притягивает маятник. Оказалось не притягивает нисколько, мало того маятник отклонился от горы в обратную стороны- отталкивается, как и все тела во вселенной.
Иначе они давно бы уже слиплись в один комок за миллиарды лет.
dedivan Пост: 669973 От 20.Apr.2020 (12:13)
Forex Пост: 669969 От 20.Apr.2020 (11:59)
Если взять соотношение размышлизмов в этой ветке, к фактам,

Малыш, в этой ветке только факты вначале. Есть факт- гравполе Луны в 5 раз меньше по размеру, чем ему положено быть по Ньютону.
Это уже измерили и зафиксировали.
И вот теперь только после этого мы размышляем- как так может быть.
Разные варианты возможны, но ты ни одного предложить не можешь.
Предлагалка слабая?


Поверхность солнца под фотосферой темная и холодная.
dedivan Пост: 728543 От 02.Jun.2021 (14:10)
gluk Пост: 728536 От 02.Jun.2021 (13:30)
А с чего оно внутри должно быть холодное?

Правильно глюк, мочи его. Недозволенные слова он говорит.
Хотя астрономы и видят в телескоп, что поверхность солнца под фотосферой темная и холодная, не стыкуется это с термоядерной теорией.
Лаврентий Палыч сказал бы - тем хуже для теории...
А у нас наоборот.
dedivan Пост: 728561 От 02.Jun.2021 (19:10)
Enter Пост: 728548 От 02.Jun.2021 (14:28)
ничё не слышал про это, где можно припасть?
Так тебя потом за уши не оттащишь.
У астрономов много фоток солнечных пятен.
В телескоп видно, что вся фотосфера состоит из отдельных вихрей, вот они то и святят.
А вот если вдруг вихри разбегаются и становится видна поверхность солнца- так она темная и холодная.
Считается что она состоит из твердого сверхпроводящего металлического водорода.
Вот он то может создавать фантастические магнитные поля.
image

image
dedivan Пост: 728576 От 02.Jun.2021 (21:15)
gluk Пост: 728566 От 02.Jun.2021 (19:39)
А что, хаотически двигающиеся шарики не стукаются о металлический водород?
Представляешь- нет никаких шариков, есть только волны.
А сверхпроводящий водород - идеальное зеркало для любых волн.
Кстати в этом зеркале мы видим черный космос, отражение.
Это не пятно черное.
Пятно само по себе зеркальное.

А вот когда пятен на солнце много- на земле сразу холоднее становится - уже давно заметили.


ahedron | Post:667717 - Date: 06.04.20(16:20)
Вот только коронавирус погибает от мыльной пены...
YouTube: Смотреть видео


dedivan | Post:667732 - Date: 06.04.20(17:07)
ahedron Пост: 667717 От 06.Apr.2020 (16:20)
коронавирус погибает от мыльной пены...

Да врут чай поди. Куча всяких вирусных заболеваний, начиная с герпеса и никогда про мыло никто не говорил.
Скорее всего общая гигиена играет роль. Смывается всякая зараза, которая способствует проникновению вирусов в организм.

_________________
я плохого не посоветую


ahedron | Post:667740 - Date: 06.04.20(17:21)
dedivan Ты ролик посмотрел? Прослушал что там говорят или хотя бы включи субтитры на русском - вникни.
Если коротко, то молекулы мыла связывают отдельные молекулы вируса и по кускам его разрывают, оставшаяся часть погибает... не смывается, а погибает - вирус разрушается.

dedivan | Post:667742 - Date: 06.04.20(17:29)
ahedron Пост: 667740 От 06.Apr.2020 (17:21)
dedivan Ты ролик посмотрел?

Мало того что посмотрел, еще и головой подумал.
Грипп распространяется воздушно-капельным путем. Как ты вирус намылишь в воздухе или в легких?
С рук ты смываешь разных бактерий, которые могут ослабить организм, а вот тогда уже вирус вступает в работу.
В здоровом организме вирус может жить сколько угодно не причиняя вреда.
К твоему сведению вирус герпеса есть практически у каждого- а герпесом заболевают единицы из миллионов и то раз в сто лет.

Намылить то его конечно можно, но это еще поймать его нужно и на мыло посадить. Британские вучоные конечно это могут.
У меня только вопрос возник- почему у них липидная (жировая) оболочка у вируса, когда у вируса белковая оболочка? Может у них какой то свой вирус? Жировая оболочка растворяется мылом, это известно, а вот белковая нет.

Поэтому и думаю, что они при пижживают где то, и при этом не подпрыгивают. Новости от британских вучоных они всегда такие.

_________________
я плохого не посоветую


sbal | Post:667756 - Date: 06.04.20(18:23)
Смотрю вирус широкой поступью вовсю марширует по СКИФу. Волнуюсь.

_________________
в пути...


dedivan | Post:667780 - Date: 06.04.20(19:19)
oooshiva Пост: 667761 От 06.Apr.2020 (18:42)
Жиробас!

Возможно.
Или как гипотезу рассматривают, вот если бы у марьванны.... у вируса была жировая оболочка. мы бы ему тогда...

_________________
я плохого не посоветую


Sergej_ | Post:668058 - Date: 08.04.20(19:11)
ahedron Пост: 667717 От 06.Apr.2020 (16:20)
Вот только коронавирус погибает от мыльной пены...
Это только у торговцев моющими средствами так. Мыло белковую оболочку вируса не повреждает, если бы так было у тебя бы руки от мыла растворились до костей.

ahedron | Post:668066 - Date: 08.04.20(19:47)
Одни видеонесмотрители собрались.

andy8mm | Post:689792 - Date: 31.08.20(14:39)
двигатель Шкондина(триггер).
dedivan Пост: 689753 От 31.Aug.2020 (10:42)
Зачем пропил? Магнит не касается феррита.
Как в обычном двигателе Шкондина.
Зубец с катушкой и магнит.
Магнит подходит к зубцу сам, увеличивая скорость, положительная обратная связь.
В патенте Шкондина это называется триггер.
После подачи размагничивающего импульса магнит начинает удаляться от зубца, тоже с положительной обратной связью. А накопленная энергия МП возвращается в источник.
В принципе это все должно работать без потребления энергии извне.


dedivan Пост: 612111 От 12.Feb.2019 (23:16)
Syava Пост: 612107 От 12.Feb.2019 (22:56)
вернется в источник (если диодик воткнуть в схемку в нужном месте).
Вот, и при этом через катушку так же будет течь ток и создавать МП, пока вся энергия не вернется. То есть ток течет в два раза дольше, чем источник накачивает. Для движка выигрыш в два раза.
И что получилось в итоге? Получился движок Шкондина.


СНК | Post:692935 - Date: 22.09.20(09:51)
Где можно почитать про кольцегранные модели атомов?

_________________
Автор благодарит алфавит за любезно предоставленные буквы.(с)


олег-джан | Post:692936 - Date: 22.09.20(09:54)
😳
У Кушелева....

_________________
Обьективная реальность-бред,вызванный недостатком алкоголя в крови...


andy8mm | Post:692961 - Date: 22.09.20(13:55)
СНК Пост: 692935 От 22.Sep.2020 (09:51)
Где можно почитать про кольцегранные модели атомов?
СНК , здесь собирал ветку:
[ссылка]


dedivan | Post:692964 - Date: 22.09.20(15:13)
олег-джан Пост: 692936 От 22.Sep.2020 (09:54)
😳
У Кушелева....

У Кушелева мальнько неправильно. У него бублик электрона пустой в центре. поэтому у него атом водорода неправильный- бублик электрона и протон в середке. А на деле в центре электрона положительный потенциал и протон там не может быть. Протон находится на некотором расстоянии от центра электрона.
Это упрощенно, а ученые уже примерно так видят комбинацию полей магнитных и электрических
Нет никаких шариков и бубликов- есть поля, деформации пространства.
Но бублик с шариком примерно правильно отражают эти поля.



Размер: 94.83 KB

_________________
я плохого не посоветую


andy8mm | Post:695527 - Date: 19.10.20(14:20)
Фазовый переход первого рода...второго рода.
dedivan Пост: 695505 От 19.Oct.2020 (12:12)
олег-джан Пост: 695499 От 19.Oct.2020 (11:04)
Что-то я забыл написать-меняется еще мю сердечника....

Не мю меняется, а упорядоченность структуры.
Это фазовый переход второго рода - изменение порядка.
А мю в зоне насыщения порядка единички.
Фазовый переход первого рода - твердое-жидкое-газообразное.
А упорядочивание-разупорядочивание - это второго рода.
И когда в разупорядочивание вносит вклад внешняя среда- получаем халявную прибавочку.


СНК | Post:696622 - Date: 29.10.20(05:51)
В метеорите наши неземную органику
[ссылка]

_________________
Автор благодарит алфавит за любезно предоставленные буквы.(с)


СНК | Post:697685 - Date: 09.11.20(15:10)
Мысли Михаила Фарадея..


Размер: 571.89 KB


Размер: 599.76 KB


Размер: 900.23 KB

_________________
Автор благодарит алфавит за любезно предоставленные буквы.(с)


dedivan | Post:697700 - Date: 09.11.20(20:12)
Да, Миша был стойким материалистом, несмотря на то, что финальные аккорды в материалистическом учении и теории еще не прозвучали.
Но такие как он заложили твердые практические основы для будущей теории.
Это как бы прелюдия грандиозной симфонии.

_________________
я плохого не посоветую


СНК | Post:702663 - Date: 11.12.20(10:54)
ФЛФ
image



Размер: 77.27 KB

_________________
Автор благодарит алфавит за любезно предоставленные буквы.(с)


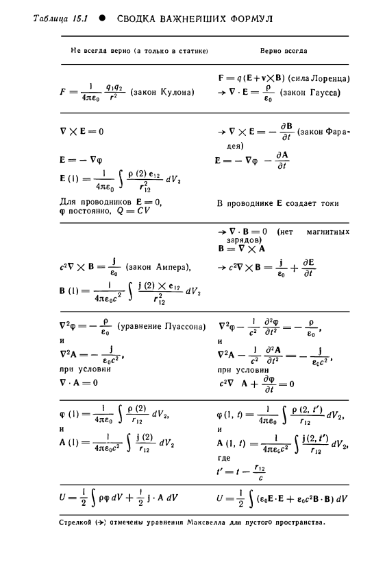
Greyver | Post:702723 - Date: 11.12.20(19:17)
image

image

Блин, ну не бывает никакого "вихревого электрического поля", по определению электрического поля. Если это "вихревое", то это НЕэлектрическое.

Upd. Кста, аналогичное уравнение в интегральной форме полностью адекватно, НО... интегральная форма априори предполагает дальнодействие. 😊


Размер: 89.51 KB


Размер: 171.74 KB

_________________
Человек отличается от обезьяны умением не замечать очевидных вещей.


<] [ 1 | ... 93 | 94 | 95 | 96 | 97 | 98 | 99 | 100 | 101 | 102 | 103 | 104 | 105 | 106 | 107 | 108 | 109 | 110 | 111 | 112 | 113 | ... | 116 ] [>
У Вас нет прав отвечать в этой теме.
Форум - Прочие идеи (разные) - новые идеи (прочие) - Про вихри(2) - Стр 103
🏠 Главная | 📚 Содержание | 💬 Форум | 📁 Файлы | 📩 Контакт